平均線熱膨脹系數是玻璃重要的物理特性,系指玻璃在一定溫度范圍內,溫度升高1'C,單位長度上的伸長量。本法規定了遠低于轉變溫度的彈性固體玻璃的平均線熱膨脹系數的測定方法。本法適用于藥品包裝用玻璃平均線熱膨脹系數的測定。
測定原理
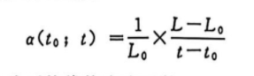
本法是將一定長度的樣品按規定的升溫方式加熱到一定溫度,測定溫度升高后樣品的伸長量,計算出樣品的平均線熱膨脹系數。用式表示為:

式中a(to;t)為平均線熱膨脹系數;
to為初始溫度或基準溫度,℃;
t為供試品加熱后的溫度,℃;
L。為試驗時玻璃供試品在溫度t時的長度mm; L為供試品在溫度t時的長度,mm。
藥品包裝用玻璃產品線熱膨脹系數指標的溫度范圍是20~300℃,則標稱基準溫度to是℃,供試品終點溫度t是℃,也可表示為a(20℃;300℃).。
儀器裝置
(1)長度測量裝置(如卡尺),精度為0.1%。
(2)推桿式膨脹儀(水平或垂直),能測出10??L。的供試品長度變化量(即2um/100mm)。測長裝置的接觸力不應超過1.0N.
承載供試品裝置,應確保供試品安放在穩固的位置上,在整個試驗過程中供試品要與推桿軸在同一軸線上,防止有任何微小改變。
(3)加熱爐應與膨脹儀裝置相匹配,其溫度上限要比預期的轉變溫度至少高50℃,加熱爐相對于膨脹儀的工作位置在軸向和徑向上應具有0.5mm以內的重現性。
在試驗溫度范圍內(即終點溫度比最高的預期的轉變溫度t低150℃并至少為300℃),爐溫應能恒定在士1℃之內。爐溫控制裝置應符合升溫速率為(5士1)℃/min控制要求。在z和t溫度范圍內,能準確測定供試品的溫度,誤差應在士1℃之內。
為了核對整個試驗裝置是否在正常的運行,應采用玻璃平均線熱膨脹系數對照物質對儀器性能進行確認。
供試品的制備選取外觀無明顯缺陷的供試品,用機械切割或其他加工的方法制成儀器所需的形狀和尺寸(如供試品可以是直徑為5~6mm,長度為18~100mm的圓棒,或滿足儀器要求的其他形狀尺寸),長度L。至少應為膨脹儀測長裝置的分辨率的5X10?倍。
供試品在試驗前應退火:將供試品加熱到比轉變溫度高大約30℃,然后以2℃/min的速率將供試品冷卻至比轉變溫度低大約150℃,在無通風的條件下將供試品進一步冷卻至室溫,
測定法
(1)試驗溫度范圍的選擇根據實際原因,標稱基準溫度一般為18℃<to<28℃,終點溫度一般為290℃<t<310℃。溫度和溫差讀數精度均應為士1℃,雖然在結果表示的實際計算中應使用溫度的實際測量值,但是試驗范圍用標稱溫度表示。對于用標稱溫度表示的給定系數a(20℃;300℃),
只要所選的實際溫度在規定的限度內,系數所受影響可以小到忽略不計。
(2)基準長度的測定在基準溫度L。時,測定退過火的供試品的基準長度Lo,然后放供試品在膨脹儀內,穩定5分鐘以上。
(3)試驗方法一:升溫試驗在初始溫度為to時確定膨脹儀的位置,并將這個讀數作為將要測量的未校正的長度變化量△Lmeas的零點,然后將加熱爐按照所需的加熱程序開始升溫。記錄溫度t和相應的長度變化量△Lmeas直到達到所需5℃/min。
(4)試驗方法二:恒溫試驗在初始溫度為to時確定膨脹儀的位置,并將這個讀數作為將要測量的未校正的長度變化量△Lm的零點,然后加熱使爐溫達到所選擇的終點溫度t,并保持爐溫恒定到t士1℃,20min后從膨脹儀上讀取△Lmeas的值。
雖然升溫試驗能夠在試驗進行中測定各種溫度的系數a(to;t),如果只要求一個終點溫度&時,應優先采用恒溫試驗,因為這個試驗能提供比較好的精度。結果計算和表示

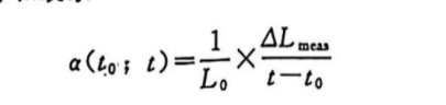
式中a(to;t)為供試品的平均線熱膨脹系數,K?1,結果表示為10??K?1.
to為初始溫度或基準溫度,℃;
t為供試品加熱后的溫度,℃;
L。為試驗時玻璃供試品在溫度t時的長度,mm;
0Lme為供試品在溫度t時‘修正后的長度變化量,mm.
由于承載供試品的裝置在測量升溫過程中會發生相應的熱膨脹,升溫過程中測量溫度的測量慮和試驗供試品之間存在溫差,儀器測量系統應按儀器提供的方法進行修正。
計算兩個供試品的a(to;_t),一般to為20°C,為300°C,a表示為(20°;-300°C);如果a(20°C;300°C)<10x10??k?1取兩位有效數字,如果a(20°c;300°c)>10X10??K?1取三位有效數字。
如果兩個供試品的測定結果偏差不大于0.2X10??K?1,取算術平均值。否則,須取另外兩個供試品重新試驗。

